Transferencia de calor
La transferencia de calor es el proceso físico de propagación del calor en distintos medios. Es la energía en tránsito debido a una diferencia de temperaturas.
La transferencia de calor se produce siempre que existe un gradiente térmico en un sistema o cuando dos sistemas con diferentes temperaturas se ponen en contacto. El proceso persiste hasta alcanzar el equilibrio térmico, es decir, hasta que se igualan las temperaturas.
Se hace referencia a los diferentes tipos de procesos de transferencia de calor como modos. Cuando existe un gradiente de temperatura en un medio estacionario (que puede ser un sólido o un fluido) se utiliza el término conducción para referirse a la transferencia de calor que se producirá a través del medio.
El término convección se refiere a la transferencia de calor que ocurrirá entre una superficie y un fluido en movimiento cuando están a diferentes temperaturas.
El tercer modo de transferencia de calor se denomina radiación térmica, todas las superficies con temperatura finita emiten energía en forma de ondas electromagnéticas. Por tanto, en ausencia de un medio, existe una transferencia neta de calor por radiación entre dos superficies a diferentes temperaturas. (Incropera, 1999)
La información correspondiente la encontraras en la pestaña
1. Transferencia de calor en una sección cónica
Varios elementos mecánicos usados en ingeniería no tiene una sección ideal (conos, cubos, esferas) y el estudio del comportamiento de la transferencia de calor en una sección irregular o variable es fundamental para el diseño de varias piezas sometidas al calor.
La energía se produce debido al movimiento y vibración de las moléculas del sólido, y la transferencia se da debido al movimiento molecular aleatorio.
Ley de Fourier
La ecuación es lineal cuando la pared de transferencia es plana.
El signo menos es consecuencia de que el calor que se transfiere en dirección de la temperatura decreciente
- Q´´ es la velocidad con la que se transfiere el calor en la dirección x por área en dirección perpendicular al eje de la temperatura (W/)
- K: Conductividad térmica característica del material (W/m*K)
· cuando k< 1 es un aislante y si k>1 es un conductor.
Si transformamos a delta se obtiene (estado estable):
2. Transferencia de calor en una sección cilíndrica, área constante
Este análisis es muy importante ya que da paso para el estudio de la transferencia de calor por aletas que es muy utilizado en elementos mecánicos para disipar calor rápidamente, y no solo de sección circular también rectangular que es la más usada en motores.
Para condiciones de estado estable sin generación de calor la forma apropiada de calor es :
En cilindros se tiene una consideración ya que se puede analizar el calor transferido como una transferencia de calor en paredes y da como resultado la obtención de un coeficiente global de transferencia de calor
Y la temperatura en cualquier punto del radio del cilindro
3. Radiación
El tercer modo por el que se da la transferencia de calor es la radiación, el cual no necesita un medio para ejecutarse, es decir no necesita un fluido. Se puede realizarse en el vacío y además la transferencia de calor por radiación es mucho más eficiente si se lo realiza en este condición.
Es la energía emitida por la materia que se encuentra a una temperatura finita. Aunque la atención será la radiación de superficies solidas también existe radiación térmica de líquidos y gases.
- Se da por ondas electromagnéticas
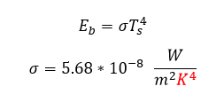
Potencia emisiva superficial
La radiación que la superficie emite es originada de la energía térmica de la materia. Limitada por la velocidad y el área de la superficie.
Ley de Boltzmann
Esta ley nos puede indicar la cantidad de energía emitida por un cuerpo negro, es decir un cuerpo que emite perfectamente toda la radiación absorbida
Pero como en la vida cotidiana tener un cuerpo perfectamente negro es complicado se trabaja con cuerpos grises y se añade una variable épsilon a la Ley de Boltzmann para así corregirla.
Dando a entender que 1 es para un cuerpo negro y menor a 1 es para un cuerpo gris, que solo puede emitir parte de la radiación que le llega. La radiación puede incidir sobre una superficie desde sus alrededores.
- La temperatura de los alrededores no necesariamente es la misma que la del ambiente en la que está encerrando
- La emisividad depende del material, superficie y del acabado
La
transferencia de calor por radiación es igual a la emisividad por la constante
de Boltzmann por la diferencia de la temperatura de la superficie con la
temperatura del aire
Diferencia Energía térmica liberada debido a la emisión por radiación y la que se gana debido a la absorción por radiación.
En la naturaleza existe simultáneamente la transferencia de calor por convección y radiación en la superficie de un cuerpo por ende para obtener el calor total transferido se suma a las dos modos. Y bajo ciertas condiciones de laboratorio se puede cancelar una de ellas (generalmente la radiación)
4. Transferencia de calor en convección libre
La convección es un método muy utilizado para disipar calor en superficies grandes ya que actúa de manera inmediata y no se necesita máquinas complejas para ejecutar este proceso lo que ahorra mucha energía y dinero a las empresas.
Se tiene aquí un movimiento molecular aleatorio y movimiento
global del fluido y ocurre en un fluido en movimiento y una superficie cuando
tienen una diferencia de temperatura. La convección natural y forzada obedecen la ley de enfriamiento de Newton
Siendo h el coeficiente de transferencia de calor por convección, este coeficiente depende en gran parte del material por el que está compuesto el sólido, el tipo de fluido y la velocidad del mismo. Se sabe que mientras el fluido tenga mayor velocidad incrementará el coeficiente de transferencia de calor por convección (h) y por lo tanto el calor transferido será mucho mayor.
Es por esta razón que en los intercambiadores de calor se requiere ocupa paredes donde choca el fluido frío, para que se genere turbulencia y aumente el número de Reynolds, en consecuencia aumenta la velocidad y el coeficiente h, haciendo mas eficiente al intercambiador de calor.
5. Transferencia de calor en barras infinitas
La frase "superficie extendida" se usa normalmente con referencia a un sólido que experimenta transferencia de energía por conducción dentro de sus límites, así como transferencia de energía por convección (y/o radiación) entre sus límites y los alrededores.
- Se usa un puntal para proporcionar soporte mecánico a dos paredes que están a temperaturas diferentes
- Un gradiente de temperatura en la dirección x mantiene la transferencia de calor por conducción internamente, al mismo tiempo que hay una transferencia de energía por convección desde la superficie.
- Se usa para aumentar la rapidez de transferencia de calor entre un sólido y un fluido contiguo
- Si 𝑇𝑆 es fija, hay dos formas en las que es posible aumentar la transferencia de calor. El h podría aumentarse incrementando la velocidad del fluido y/o podría reducirse la temperatura del fluido 𝑇∞.
- La transferencia de calor aumenta al aumentar el área efectiva de la convección
- Las aletas nunca van a estar en contacto con un fluido líquido, solo gaseoso.
- La conductividad térmica del material tiene un fuerte efecto sobre la distribución de temperaturas a lo largo de la aleta. (debe de ser grande)
6. Conducción transitoria
Se analiza la transferencia de calor en el tiempo. La energía almacenada, es la que se guarda dentro del sistema cuando la temperatura en el interior se incrementa o disminuye con el tiempo.
La conducción transitoria se inicia mediante la transferencia de calor por convección hacia o desde un fluido contiguo
- Al no tomar en cuenta los gradientes de temperatura del sólido, ya no es posible considerar el problema desde dentro del marco de la ecuación de difusión de calor.
- La respuesta de temperatura transitoria se determinar realizando un balance global de energía en el sólido.
- Se debe relacionar la velocidad de pérdida de calor en la superficie con la rapidez de cambio de energía interna.
Analizando la ecuación de la conservación de la energía obtenemos que la energía que sale es igual a la energía que se almacena en el cuerpo, y haciendo a respectiva algebra podemos llegar a la siguiente ecuación que representa el tiempo necesario para que un cuerpo llegue de una temperatura a otra
Despejando el logaritmo se obtiene de manera mas directa la temperatura en función del tiempo
Si analizamos el gráfico siguiente podemos observar que el tiempo que transcurre un parte de la gráfica tiende a ser constante y luego se produce el comportamiento exponencial. Esto se debe a que el cuerpo necesita un tiempo para que el estimulo al calor pueda incrementar su temperatura de manera uniforme a través de todo su volumen.
A este tiempo se lo conoce como constante térmica del tiempo
7. Convección forzada
La transferencia de calor por convección mejora sus propiedades cuando el flujo del fluido es alto, es decir forzado, ya que puede llevarse aun más calor por área, este análisis se usa generalmente en intercambiadores de calor donde los fluidos están en distintas direcciones y van a altas velocidades.
La convección forzada es uno de los métodos de transferencia de calor más utilizado en al ingeniería ya que no requiere una máquina potente para ser ejecutada, por lo tanto es un ahorro en inversión para las empresas cuando requieren enfriar un fluido.
- un fluido con velocidad V
- temperatura T∞
- fluye sobre una superficie de forma arbitraria y de área As
- La temperatura de la superficie es Ts
Capa límite hidrodinámica
Cuando se analiza la interacción de un fluido con un sólido y además el fluido tiene una velocidad, entonces en al superficie del sólido se genera una pequeña capa que se conoce como la capa límite hidrodinámica.
En esta zona es donde se genera el tipo de flujo del fluido: laminar, transición o turbulento. Y por la condición de no deslizamiento de un fluido en contacto con un cuerpo sin velocidad la componente de la velocidad en x al inicio del contacto es cero y aumentar conforme aumente la altura del fluido hasta llegar a ser máximo la velocidad inicial del fluido
La capa de fluido en contacto con la superficie tratará de arrastrar a la placa por efecto de la fricción, al ejercer una fuerza de fricción sobre ella. De modo semejante, una capa de fluido más rápida trata de arrastrar a la capa adyacente más lenta y ejercerá una fuerza de fricción en virtud de la fricción entre las dos. La fuerza de fricción por unidad de área se llama esfuerzo cortante y se denota por t, Suponiendo un fluido newtoniano (Cengel, Transferencia de calor, 2004)
Capa limite térmica
De igual forma que la velocidad, cuando el fluido entra en contacto con un cuerpo que está a diferente temperatura que este entonces se crea un delta de temperatura y por ende la transferencia de calor, creándose así una capa limite térmica.
Considerando un fluido con una temperatura uniforma T∞ sobre una placa isotérmica a la temperatura Ts. Las partículas del fluido en la capa adyacente a la superficie alcanzaran el equilibrio térmico y tendrán la temperatura Ts y así sucesivamente, lo que ocasionara que se produzca un perfil de temperatura.
Se define la capa limite térmica como la regio del flujo sobre la superficie en la vual la variación de la temperatura en la dirección normal a la superficie es significativa.
Flujo laminar y turbulento
El primer paso para el análisis de transferencia por convección es determinar si la capa limite es laminar o turbulenta.
El
fluido que está en contacto con la superficie siempre va a tener un flujo
laminar
Laminar:
0 ≤ Re ≤ 2 x105
Transición: Re < 3x106
Turbulento:
Re ≥
- En la capa limite laminar el movimiento del fluido es altamente ordenado y es posible identificar líneas de flujo a lo largo de las cuales se mueven las partículas. El movimiento del fluido a lo largo de una línea de flujo se caracteriza por componentes de la velocidad en X y Y.
- El componente de la velocidad en la dirección normal contribuye significativamente a la transferencia de movimiento, energía o especias a través de la capa limite.
- El movimiento del fluido en la capa limite turbulenta es altamente irregular y se caracteriza por fluctuaciones de velocidad, estas aumenta la transferencia de movimiento, energía y especies por lo que aumenta la fricción de la superficie así como la transferencia por convección
Análisis térmico compren el hallara el número de Nusselt ya que esté proporciona mucha información acerca del comportamiento de la transferencia de calor. Por lo tanto para un flujo externo existen muchas consideraciones que hay que tomar en cuenta ya que las funciones para el numero de Nusselt están dadas por la variación del número de Reynolds y Prandtl.
Flujo laminar
Los parámetros principales de convección se obtiene resolviendo la forma apropiada de las ecuaciones de capa límite, al suponer un flujo laminar incompresible y estable con propiedades de fluido constantes y disipación viscosa despreciable.
Cuando la placa donde se produce la transferencia es isotérmica, es decir toda la placa tiene una sola temperatura.
Flujo turbulento
Se asocia con la existencia de fluctuaciones aleatorias en el fluido. Es beneficiosos ya que proporciona aumento de transferencia de calor. Sin embargo el movimiento es complicado y difícil describirle teóricamente.
8. Convección forzada con flujo cruzado
Existen infinidad de diseños para intercambiadores de calor, todos dependen del uso, espacio, cantidad de calor a disipar, volumen del fluido, y otras variables importantes. El flujo cruzado lo que analiza es el calor que se disipa cuando los flujos se encuentra perpendiculares entre sí.
En este caso el el flujo del fluido es por dentro de una tubería por lo tanto los límites flujo laminar y turbulento cambian al igual que el número de Reynolds
- Para flujo interno es importante conocer la extensión de la región de entrada que depende si el flujo es laminar o turbulento.
- El flujo laminar se da desde un número de Reynols < 2300, siendo 2300 el límite crítico
- El flujo turbulento completamente desarrollado se da cuando ReD=10 000
El fluido hace contacto con la superficie, los efectos viscosos se vuelven importantes y se producen una capa límite que aumenta en x. Este desarrollo ocurre a expensas de una región de flujo no viscoso que se contrae y concluye con la unión de la capa limite en la línea central.
Después de la unión, los efectos viscosos se extiende sobre toda la sección transversal y el perfil de velocidad ya no cambia la aumentar x, entonces el flujo está completamente desarrollado, y la distancia desde la entrada hasta que se da este movimiento se llama longitud hidrodinámica de entrada x(fd,h)
Flujo laminar
Región completamente desarrollada
Con el flujo laminar se puede determinar los coeficientes de convección en cualquier punto del tubo ya que las aproximaciones de capa limite son aplicables.
En un tubo circular caracterizado por un flujo de calor superficial uniforme y en condiciones laminares completamente desarrolladas, el número de Nusselt es una constante, independiente de ReD, Pr y la posición axial.
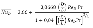
- Housen
- Sieder y Tate
Flujo turbulento
El análisis es mucho más complicado, por lo tanto se hace más énfasis en correlaciones empíricas.
Una expresión clásica para calcular NuD local para flujo turbulento completamente desarrollado (hidrodinámica y térmicamente) en un tubo circular suave (rugosidad interna) se debe a:
- Chilton-Colburn



















Comentarios
Publicar un comentario